/ Research, Metaverse, Publication, Journal Article



Publication by Mitchell Goldberg and Fabian Schär in Journal of Business Research, Volume 160 (2023) 113764
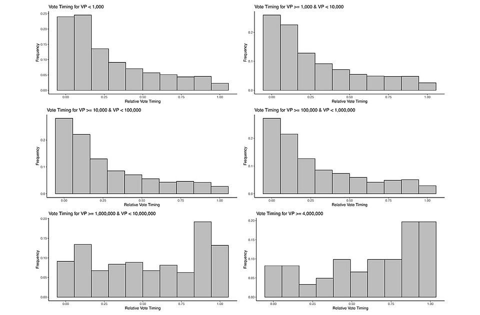
In this paper we explore the importance of platform governance. We discuss various problems of centralized architecture in the context of the metaverse or sharing economy applications which may lead to monopoly market structures. We argue that open standards and blockchain-based governance can potentially mitigate some of these issues. We then collect governance data from the first blockchain-based virtual world and conduct an empirical analysis to study voter behavior within Decentralized Autonomous Organizations (DAOs). We provide empirical evidence that open standards and blockchain-based governance are a necessary but not a sufficient condition for a decentralized and neutral platform. Centralization and concentrated voting power may lead to dependencies, rent extraction behavior and create hold-up problems. Consequently, producers, prosumers and service providers must evaluate the governance structure of the platform before establishing a presence.
Highlights:
Learn more...